Zuur - Base Indicatoren
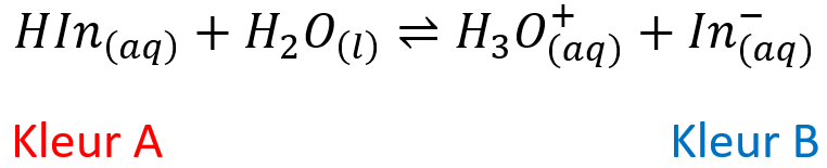
- Stoffen die van kleur veranderen afhankelijk van de pH.
! Indicatoren vertonen pH - afhankelijke kleurveranderingen, omdat het zwakke zuren zijn en verschillende kleuren hebben in hun zuur- en geconjugeerde basevormen.
VOORBEELD
